Podręcznik
Wersja podręcznika: 1.0
Data publikacji: 01.01.2022 r.
Wykłady
W1…WN, odpowiadające w sumie ok. 10-12 godz. standardowego wykładu
1. Modele sieciowe
1.2. Zagadnienia modelowane jako problemy w sieciach przepływowych
W sieciach przepływowych formułuje się problemy typowe dla sieci przepływowych, w szczególności problem maksymalnego przepływu i problem przepływu minimalnokosztowego. Cała sztuka modelowania polega na „zakodowaniu” problemu, który chcemy rozwiązać w pojęciach ze świata sieci przepływowych. Najpierw dokonujemy więc pewnego mapowania problemu do problemu w sieci przepływowej. Następnie rozwiązujemy odpowiedni problem w sieci przepływowej. Uzyskany w ten sposób wynik dekodujemy z przestrzeni pojęć sieci przepływowej do domeny wyjściowego problemu. Dlatego istotne jest jednoznaczne i poprawne określenie parametrów sieci przepływowej, zazwyczaj przepustowości i kosztów łuków, oraz wskazanie problemu do rozwiązania na sieci. Przedstawimy teraz dwa kluczowe problemy rozwiązywane w sieciach przepływowych.
Problem maksymalnego przepływu
Problem polega na znalezieniu maksymalnego przepływu od wierzchołka źródłowego \(s\) do wierzchołka ujściowego \(t\). W problemie tym muszą zostać zdefiniowane przepustowości krawędzi, natomiast nie są wykorzystywane koszty.
Poniżej znajduje się przykładowa sieć przesyłowa dla problemu maksymalnego przepływu.

Rozwiązanie problemu maksymalnego przepływu zostało zaznaczone poniżej w postaci przepływów podanych w nawiasach kwadratowych.

Problem maksymalnego przepływu można rozwiązywać np. algorytmem Forda-Fulkersona. Dla całkowitoliczbowych przepustowości algorytm ten znajduje rozwiązanie całkowitoliczbowe w skończonej liczbie iteracji. Ponieważ w niniejszym materiale skupiamy się na modelowaniu, czytelnika chcącego poznać szczegóły algorytmu odsyłamy do pozycji bibliograficznych.
Model programowania liniowego dla problemu maksymalnego przepływu jest następujący:
\(\max F\)
\(\sum_{v \in V} f_{sv} -F =0\)
\(\sum_{u\in V} f_{vu} - \sum_{u\in V} f_{uv} = 0 \quad v \in V, v \ne s, v \ne t\)
\( 0 \leq f_{uv} \leq c_{uv} \quad (u,v) \in E\)
Z maksymalnym przepływem wiąże się pojęcie minimalnego przekroju.
Przekrojem grafu \(G=(V,E)\) nazywamy podział łuków na dwa rozłączne podzbiory \(S\) oraz \(T= V \setminus S\). Przepustowość przekroju \((S,T)\) to suma przepustowości wszystkich łuków łączących wierzchołki \(s \in S\) z wierzchołkami \(t \in T\).
Wartość dowolnego przepływu w sieci nie może być większa niż przepustowość dowolnego przekroju. W szczególności wartość maksymalnego przepływu w sieci \(G\) jest równa przepustowości minimalnego przekroju w sieci \(G\).
Minimalny przekrój może być wyznaczony np. w ramach ostatniej iteracji algorytmu Forda-Fulkersona, w której finalne znakowanie wierzchołków wyznacza ich podział na podzbiory \(S\) i \(T\).
Problem najtańszego przepływu
Problem najtańszego przepływu wymaga zdefiniowania jednostkowych kosztów przepływ na łukach. Należy znaleźć przepływ o zadanej wielkości z węzła źródłowego \(s\) do ujścia \(t\) przy minimalnym sumarycznym koszcie przepływu.
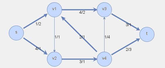
Poniżej znajduje się przykładowa sieć przesyłowa dla problemu najtańszego przepływu, gdzie pierwsza liczba z pary x/y oznacza przepustowość, a druga koszt.

Rozwiązanie problemu najtańszego przepływu zostało zaznaczone poniżej w postaci przepływów podanych w nawiasach kwadratowych.

Problem najtańszego przepływu może być rozwiązywany uproszczoną metodą sympleks lub dedykowanymi algorytmami sieciowymi.
Model programowania liniowego dla problemu minimalnokosztowego przepływu \(F\) jest następujący:
\( \min \sum_{(u,v) \in E} \theta_{uv} f_{uv}\)
\( \sum_{v \in V} f_{sv} = F\)
\(\sum_{u\in V} f_{vu} - \sum_{u\in V} f_{uv} = 0 \quad v \in V, v \ne s, v \ne t\)
\( 0 \leq f_{uv} \leq c_{uv} \quad (u,v) \in E\)