Podręcznik
Wymagania zaliczenia
Wersja podręcznika: 1.0
Data publikacji: 01.01.2022 r.
Wykłady
W1…WN, odpowiadające w sumie ok. 10-12 godz. standardowego wykładu
2. Modelowanie zależności
2.6. Warunki logiczne
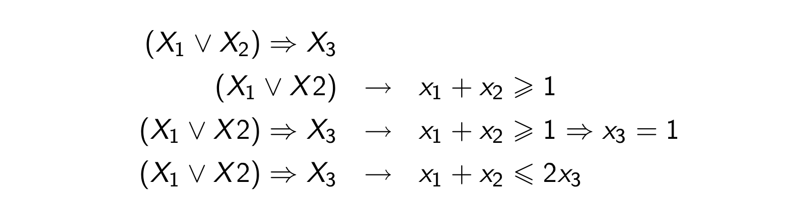
Modele liniowe-całkowitoliczbowe umożliwiają modelowanie różnorodnych warunków logicznych.
Niech zmienna binarna z wartościami \(\{0,1\}\) odpowiada zmiennej logicznej z wartościami (fałsz, prawda). Za ich pomocą możemy modelować różnorodne warunki logiczne, przez wprowadzenie odpowiednich ograniczeń oraz ewentualnie dodatkowych zmiennych.
Przykłady prostych warunków logicznych:

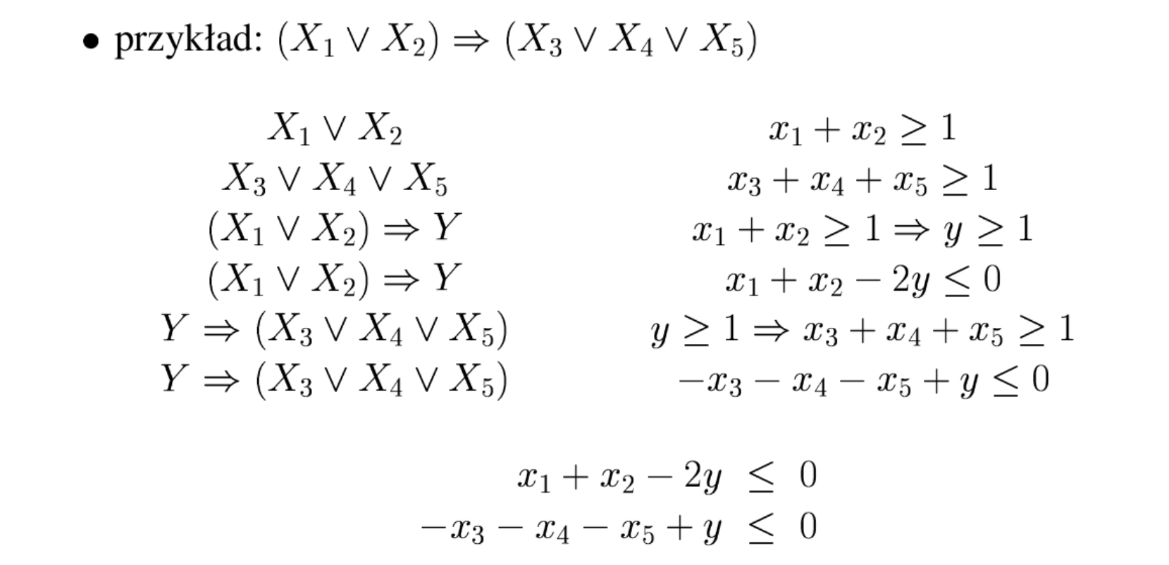
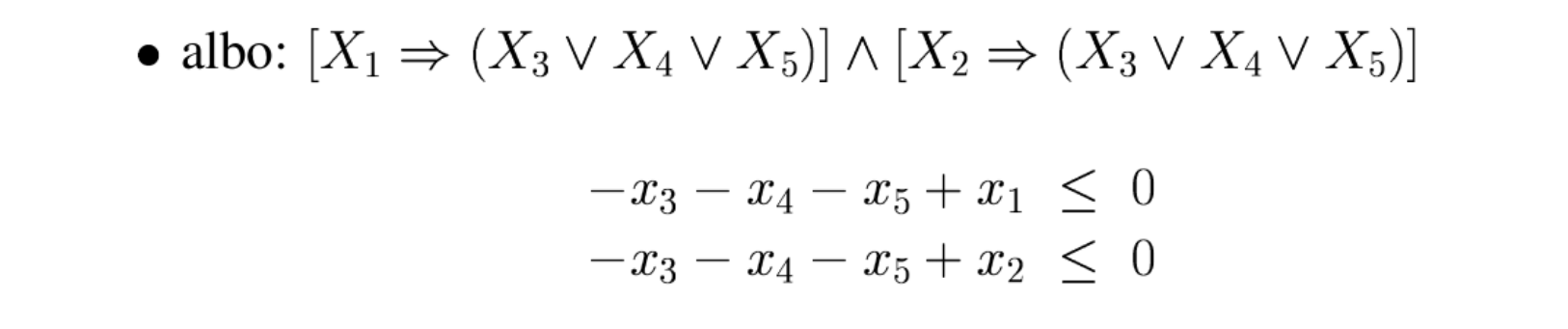
Przykłady złożonych warunków logicznych:

Oraz:

